第三节 成对样本均数的t检验
作者:徐荣祥 出版社:中国科学技术出版社 发行日期:2009年7月
此方法适应于同一批病人或试验动物处理前后或配对比较差异的显著性检验。成对比较的基本方法是先计算出试验前后两数据之差,然后用差数的均数及其标准误计算t值。公式分别为:

示例37410例高血压病人采用A种降压药物治疗,治疗前后的舒张压变化结果记录于表371中。问A种降压药物治疗后的舒张压变化与治疗前有无显著性差异?

【解题步骤】
1建立无效假设和确定显著水准(α):设H0:差数的总体均数等于零(治疗前后舒张压无变化,则治疗前后舒张压的总体均数必然等于零),即μ=0;设H1:μ≠0。α=005。
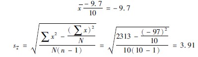
2求出每一例病人治疗前后舒张压变化的差值(x),将其相加得出差数总和(-97)。
3分别计算差数的平均值(x)与标准误(sx):

4计算t值:

5根据自由度查t值表:自由度等于9(10-1)时,t005=2262,现t值为248,大于2262,即t>2262,P<005,说明差异显著。
6结果判断:A种降压药物具有降低舒张压的作用。









